努力学习网 努力学习网

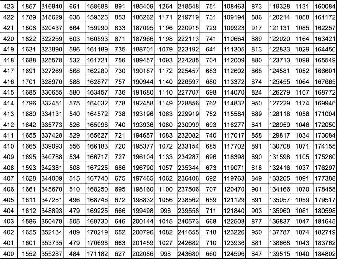
2021年山东夏季高考文化成绩 一分一段统计表

6月25日下午4点, 2021年山东高考第二场新闻发布会 如期举办。 2021山东高考分数线揭晓!一段线444分,二段线150分 今天下午 随着2021年普通高考成绩信息查询通道开启 2021年山东夏季高考文化成绩 一分一段统计表 也随之发布
什么叫一分一段表: 就是每一个分数,在整个山东省有多少名考生。考生在全省排在一个什么位次上,都能通过这个一分一段表看出来。
来源:齐鲁晚报(qiluwanbao002)·齐鲁壹点记者 巩悦悦,王凯,山东省教育厅

本站内容收集整理于网络,多标有原文出处,本站仅提供信息存储空间服务。如若转载,请注明出处。

相关文章